國立清華大學開放式課程
A-
A
A+
03-5715131#35401
mengfen@mx.nthu.edu.tw 吳小姐
繁體中文
简体中文
English
網站說明
About
網站簡介
授權合作
榮譽事蹟
平台操作
服務項目
最新消息
News
最新上傳
最新公告
開放課程
Open Course
新增課程
所有課程
工程學群
自然科學學群
人文社會學群
熱門教材
Popular Textbook
超猛筆記招募
最新教材
工程學群
自然科學學群
人文社會學群
專欄報導
學生筆記
師資團隊
Teachers
清華講座
NTHU Lecture
清華講座
企業授權合作
全英語課程
EMI
全英語課程
全英語課程分析
YT熱門影片
翻譯網頁
影片翻譯字幕
相關資源
Discussion
學術
網路自學
ADOBE專區
教學專區
平面設計
進階搜尋
國立清華大學開放式課程
網站說明
網站簡介
授權合作
榮譽事蹟
平台操作
服務項目
最新消息
最新上傳
最新公告
開放課程
新增課程
所有課程
工程學群
自然科學學群
人文社會學群
熱門教材
工程學群
自然科學學群
人文社會學群
專欄報導
學生筆記
師資團隊
課程討論
工程學群
自然科學學群
人文社會學群
清華講座
清華講座
企業授權合作
全英語課程
全英語課程
全英語課程分析
YT熱門影片
翻譯網頁
影片翻譯字幕
相關資源
學術
網路自學
ADOBE專區
教學專區
平面設計
語言:繁體中文
繁體中文
简体中文
English
熱門教材
熱門教材
開放式課程
熱門教材
Open Textbook
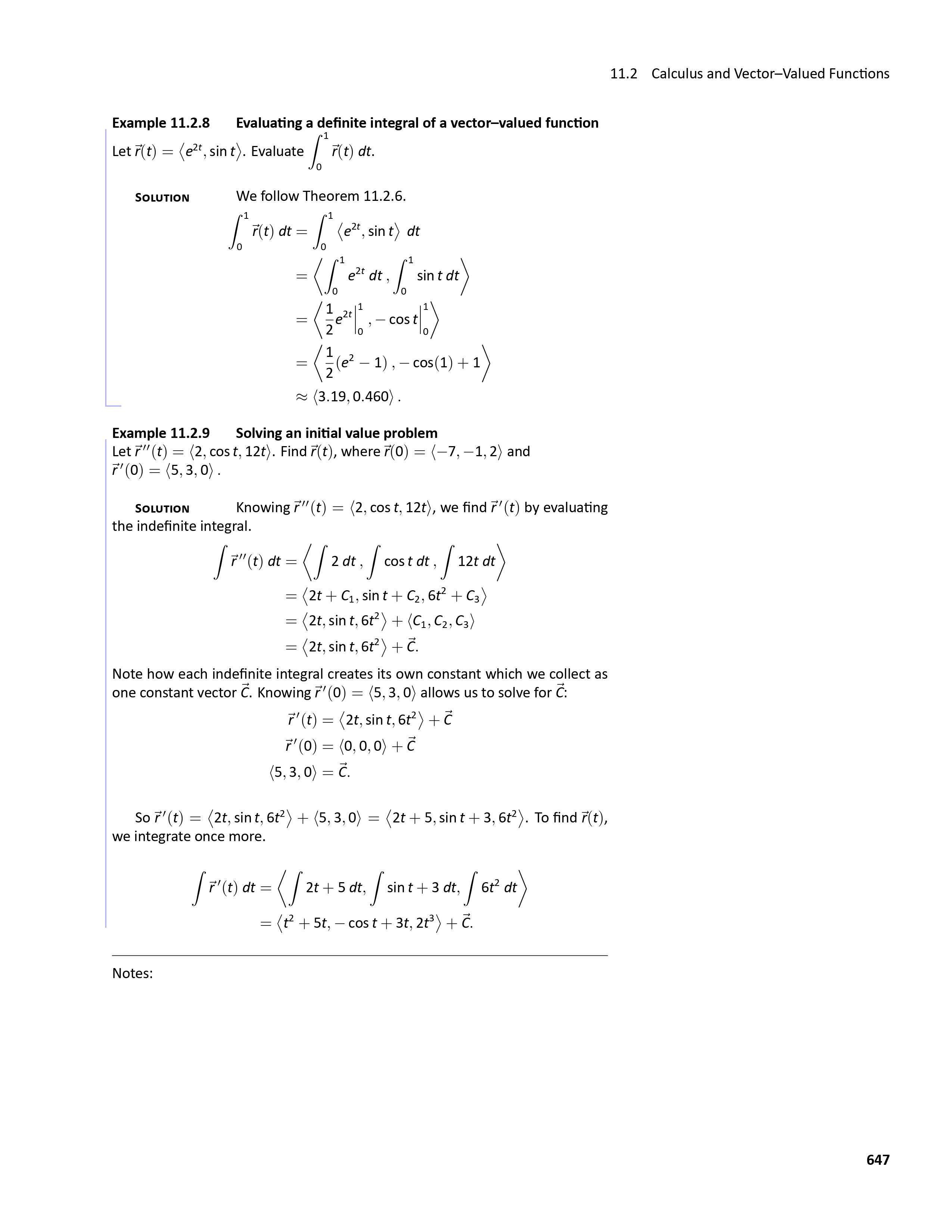
APEX Calculus Version4_7
1
2
3
4
5
6
7
8
9
10
11
12
13
14
15
16
17
18
19
20
21
22
23
24
25
26
27
28
29
30
31
32
33
34
35
36
37
38
39
40
41
42
43
44
45
46
47
48
49
50
51
52
53
54
55
56
57
58
59
60
61
62
63
64
65
66
67
68
69
70
71
72
73
74
75
76
77
78
下載教材
Details
Course Name:
2022_Open Textbook-微積分
Teacher:
Open Textbook
Time:
2022-09-01
Views:
332
Social Share
捐贈愛心筆記
Tweet
Categories
工程學群
自然科學學群
人文社會學群
專欄報導
學生筆記